39. Inconel738LC_真応力_真ひずみ曲線予測ワークフロー

39.1. 概要

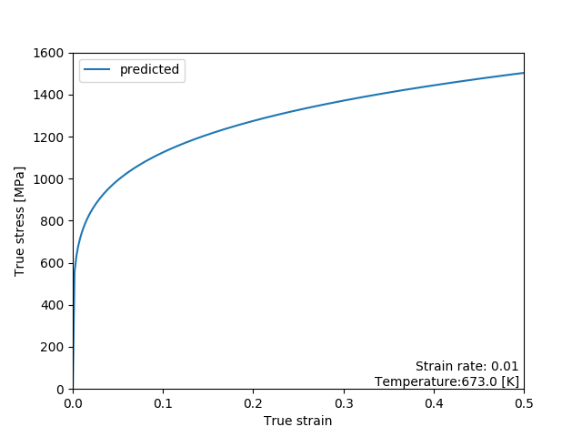
Inconel 738LCを対象に、ひずみ速度依存、温度に依存した真応力-真ひずみ曲線を予測するワークフローである。 真応力 \(\sigma\) [MPa] は鳥塚 史郎(兵庫県立大学)による式 (17) で求められる。

(17)\[\begin{split}\begin{align} & \sigma = C\varepsilon^{n}(100\dot{\varepsilon})^{m} [MPa]\nonumber \\ & C = 278935\frac{1}{T}+1288 \nonumber \\ & n = 0.18 \nonumber \\ & m = 0.01 \nonumber \\ \end{align}\end{split}\]

39.2. ワークフロー説明

Inconel 738LCを対象に、ひずみ速度依存、温度に依存した真応力-真ひずみ曲線を予測する。

../_images/W110000000806.png

図 337 Inconel738LC_真応力_真ひずみ曲線予測ワークフロー

39.3. ツールの説明

ワークフローで使用されるツールの説明。

39.3.1. Inconel738LC_真応力_真ひずみ曲線予測

入力ファイル

  • ポート名: ひずみ速度

    ひずみ速度(単位時間当たりに負荷するひずみ)[1/s]

    0.01
    
  • ポート名: 温度

    温度 [K]

    673
    

出力ファイル

  • ポート名: 真応力_真ひずみ曲線_データ 真応力、真ひずみのcsvデータ。列は「真ひずみ, 真応力」の順である点に注意。

    0.000000000000000000e+00,0.000000000000000000e+00
    2.000000000000000042e-03,5.562417879283151478e+02
    4.000000000000000083e-03,6.301573578721113336e+02
    6.000000000000000125e-03,6.778684767694699076e+02
    ...
    
  • ポート名: 真応力_真ひずみ曲線_画像

    真応力-真ひずみ曲線の画像データ

    ../_images/ss_inc738.png

    図 338 INC738LC 真応力_真ひずみ曲線_画像

39.4. ワークフローの入力ファイル

本ワークフローの入出力ファイルは、Inconel738LC_真応力_真ひずみ曲線予測 と同様である。 * サンプル入出力ファイル ダウンロードはこちら (html版のみダウンロード可能)