46. 窒化鋼疲労強度予測ワークフロー¶
46.1. 概要¶
学習済の深層学習モデルを用いて窒化鋼の任意深さにおけるビッカース硬さ、窒素濃度、残留応力、局所疲労限度および疲労限度を予測する。
46.3. ツール説明¶
ワークフローで使用されるツールの説明を行う。
46.3.1. 合金組成情報¶
複数元素の質量パーセント濃度が記述された組成データをCSVファイルとして与え、単体の元素濃度の出力ポートへと分解して出力する。 本ワークフロー中においては単位変換を行わず、入出力ともに値を質量パーセント濃度固定とする。
合金組成情報予測モジュールの処理詳細については 「 合金組成情報 」 を参照のこと。ただしバージョン1.3.0において組成データタイプがcct_matnavi形式の場合の組成データの項目にPbを追加した。
図 358 合金組成情報モジュール¶
入力¶
- ポート名: 組成データ
組成データタイプがcct_matnaviの場合の形式でヘッダー1行と各元素の質量パーセント濃度が1行書かれたCSVファイルを与える。 このワークフローでは {C,Mn,Si,Cr,Mo,V,Al,Ni,W,Nb,P,S,O,N,Cu,Ti,B,Pb,Co} の元素濃度を要求する(次の記述例を参照)。
C,Mn,Si,Cr,Mo,V,Al,Ni,W,Nb,P,S,O,N,Cu,Ti,B,Pb,Co 0,0,0,1,0,0,0,0,0,0,0,0,0,0,0,0,0,0,0
- ポート名: 合金種別
- 合金の種別。このワークフローでは常に"Fe"を与える。
Fe
- ポート名: 組成データタイプ
- 組成データの記述形式。このワークフローでは常に"cct_matnavi"を与える
cct_matnavi
- ポート名: 組成データ単位情報
- 組成データの単位情報。このワークフローでは常に"mass_percent"を与える。
mass_percent
出力¶
- ポート名: Al_質量百分率 B_質量百分率 C_質量百分率 Co_質量百分率 Cr_質量百分率 Cu_質量百分率 Mn_質量百分率 Mo_質量百分率 N_質量百分率 Nb_質量百分率 Ni_質量百分率 O_質量百分率 P_質量百分率 Pb_質量百分率 S_質量百分率 Si_質量百分率 Ti_質量百分率 V_質量百分率 W_質量百分率
合金中の (各ポート名に対応する元素) の質量パーセント濃度
0
46.3.2. 深さリスト生成¶
深さの計算対象リストを生成する
図 359 深さリスト生成モジュール¶
入力¶
- ポート名: 深さのステップ
分布予測のステップ (μm)
10
- ポート名: 深さの最大値
試料表面からの深さの最大値 (μm)
1000
- ポート名: 深さの最小値
試料表面からの深さの最小値 (μm)
0
出力¶
- ポート名: 深さの計算対象リスト
分布を計算する深さのリスト (μm)
0.0,10.0,20.0,30.0,40.0,50.0,60.0,70.0,80.0,90.0,100.0,110.0,120.0,130.0,140.0,150.0,160.0,170.0,180.0,190.0,200.0,210.0,220.0,230.0,240.0,250.0,260.0,270.0,280.0,290.0,300.0,310.0,320.0,330.0,340.0,350.0,360.0,370.0,380.0,390.0,400.0,410.0,420.0,430.0,440.0,450.0,460.0,470.0,480.0,490.0,500.0,510.0,520.0,530.0,540.0,550.0,560.0,570.0,580.0,590.0,600.0,610.0,620.0,630.0,640.0,650.0,660.0,670.0,680.0,690.0,700.0,710.0,720.0,730.0,740.0,750.0,760.0,770.0,780.0,790.0,800.0,810.0,820.0,830.0,840.0,850.0,860.0,870.0,880.0,890.0,900.0,910.0,920.0,930.0,940.0,950.0,960.0,970.0,980.0,990.0
46.3.3. ビッカース硬さ予測¶
窒化材の任意深さ範囲におけるビッカース硬さ分布を予測する
図 360 ビッカース硬さ予測モジュール¶
入力¶
- ポート名: Al_質量百分率 B_質量百分率 C_質量百分率 Co_質量百分率 Cr_質量百分率 Cu_質量百分率 Mn_質量百分率 Mo_質量百分率 N_質量百分率 Nb_質量百分率 Ni_質量百分率 O_質量百分率 P_質量百分率 Pb_質量百分率 S_質量百分率 Si_質量百分率 Ti_質量百分率 V_質量百分率 W_質量百分率
合金中の (各ポート名に対応する元素) の質量パーセント濃度
0
- ポート名: ビッカース硬さ予測モデル
- ビッカース硬さ予測モデル (pytorch)未指定の場合、デフォルトでビッカース硬さ予測モデルv1.0.0が使用される。
- ポート名: 深さの計算対象リスト
分布を計算する深さのリスト (μm)
0.0,10.0,20.0,30.0,40.0,50.0,60.0,70.0,80.0,90.0,100.0,110.0,120.0,130.0,140.0,150.0,160.0,170.0,180.0,190.0,200.0,210.0,220.0,230.0,240.0,250.0,260.0,270.0,280.0,290.0,300.0,310.0,320.0,330.0,340.0,350.0,360.0,370.0,380.0,390.0,400.0,410.0,420.0,430.0,440.0,450.0,460.0,470.0,480.0,490.0,500.0,510.0,520.0,530.0,540.0,550.0,560.0,570.0,580.0,590.0,600.0,610.0,620.0,630.0,640.0,650.0,660.0,670.0,680.0,690.0,700.0,710.0,720.0,730.0,740.0,750.0,760.0,770.0,780.0,790.0,800.0,810.0,820.0,830.0,840.0,850.0,860.0,870.0,880.0,890.0,900.0,910.0,920.0,930.0,940.0,950.0,960.0,970.0,980.0,990.0
- ポート名: 窒化時間
窒化処理を行う時間 (min)
960
- ポート名: 窒化温度
窒化処理を行う温度 (℃)
500
出力¶
- ポート名: ビッカース硬さ分布
指定した深さ範囲におけるビッカース硬さの分布(深さのリスト(μm)とビッカース硬さ(HV)のリストのペア)
0.000000000000000000e+00,5.817233276367187500e+02 1.000000000000000000e+01,5.687181396484375000e+02 2.000000000000000000e+01,5.653233642578125000e+02 3.000000000000000000e+01,5.598865356445312500e+02 ... 9.700000000000000000e+02,9.389253997802734375e+01 9.800000000000000000e+02,9.384820556640625000e+01 9.900000000000000000e+02,9.380383300781250000e+01
- ポート名: ビッカース硬さグラフ
深さ(x軸)に対するビッカース硬さ(y軸)のグラフ
図 361 ビッカース硬さグラフ¶
46.3.4. 硬化度予測¶
窒化材の任意深さ範囲における硬化度(母相との硬さの差)の分布を予測する
図 362 硬化度予測モジュール¶
入力¶
- ポート名: Al_質量百分率 B_質量百分率 C_質量百分率 Co_質量百分率 Cr_質量百分率 Cu_質量百分率 Mn_質量百分率 Mo_質量百分率 N_質量百分率 Nb_質量百分率 Ni_質量百分率 O_質量百分率 P_質量百分率 Pb_質量百分率 S_質量百分率 Si_質量百分率 Ti_質量百分率 V_質量百分率 W_質量百分率
合金中の (各ポート名に対応する元素) の質量パーセント濃度
0
- ポート名: 深さの計算対象リスト
分布を計算する深さのリスト (μm)
0.0,10.0,20.0,30.0,40.0,50.0,60.0,70.0,80.0,90.0,100.0,110.0,120.0,130.0,140.0,150.0,160.0,170.0,180.0,190.0,200.0,210.0,220.0,230.0,240.0,250.0,260.0,270.0,280.0,290.0,300.0,310.0,320.0,330.0,340.0,350.0,360.0,370.0,380.0,390.0,400.0,410.0,420.0,430.0,440.0,450.0,460.0,470.0,480.0,490.0,500.0,510.0,520.0,530.0,540.0,550.0,560.0,570.0,580.0,590.0,600.0,610.0,620.0,630.0,640.0,650.0,660.0,670.0,680.0,690.0,700.0,710.0,720.0,730.0,740.0,750.0,760.0,770.0,780.0,790.0,800.0,810.0,820.0,830.0,840.0,850.0,860.0,870.0,880.0,890.0,900.0,910.0,920.0,930.0,940.0,950.0,960.0,970.0,980.0,990.0
- ポート名: 硬化度予測モデル
- 硬化度予測モデル (pytorch)未指定の場合、デフォルトで硬化度予測モデルv1.0.0が使用される。
- ポート名: 窒化時間
窒化処理を行う時間 (min)
960
- ポート名: 窒化温度
窒化処理を行う温度 (℃)
500
出力¶
- ポート名: 硬化度分布
指定した深さ範囲における硬化度の分布(深さのリスト(μm)と硬化度(HV)のリストのペア)
0.000000000000000000e+00,4.669006958007812500e+02 1.000000000000000000e+01,4.600103149414062500e+02 2.000000000000000000e+01,4.509936218261718750e+02 ... 9.700000000000000000e+02,7.368394732475280762e-01 9.800000000000000000e+02,7.368394732475280762e-01 9.900000000000000000e+02,7.368394732475280762e-01
- ポート名: 硬化度グラフ
深さ(x軸)に対する硬化度(y軸)のグラフ
図 363 硬化度グラフ¶
46.3.5. 窒素濃度予測¶
窒化材の任意深さ範囲における窒素濃度分布を予測する
図 364 窒素濃度予測モジュール¶
入力¶
- ポート名: Al_質量百分率 B_質量百分率 C_質量百分率 Co_質量百分率 Cr_質量百分率 Cu_質量百分率 Mn_質量百分率 Mo_質量百分率 N_質量百分率 Nb_質量百分率 Ni_質量百分率 O_質量百分率 P_質量百分率 Pb_質量百分率 S_質量百分率 Si_質量百分率 Ti_質量百分率 V_質量百分率 W_質量百分率
合金中の (各ポート名に対応する元素) の質量パーセント濃度
0
- ポート名: 深さの計算対象リスト
分布を計算する深さのリスト (μm)
0.0,10.0,20.0,30.0,40.0,50.0,60.0,70.0,80.0,90.0,100.0,110.0,120.0,130.0,140.0,150.0,160.0,170.0,180.0,190.0,200.0,210.0,220.0,230.0,240.0,250.0,260.0,270.0,280.0,290.0,300.0,310.0,320.0,330.0,340.0,350.0,360.0,370.0,380.0,390.0,400.0,410.0,420.0,430.0,440.0,450.0,460.0,470.0,480.0,490.0,500.0,510.0,520.0,530.0,540.0,550.0,560.0,570.0,580.0,590.0,600.0,610.0,620.0,630.0,640.0,650.0,660.0,670.0,680.0,690.0,700.0,710.0,720.0,730.0,740.0,750.0,760.0,770.0,780.0,790.0,800.0,810.0,820.0,830.0,840.0,850.0,860.0,870.0,880.0,890.0,900.0,910.0,920.0,930.0,940.0,950.0,960.0,970.0,980.0,990.0
- ポート名: 窒化時間
窒化処理を行う時間 (min)
960
- ポート名: 窒化温度
窒化処理を行う温度 (℃)
500
- ポート名: 窒素濃度予測モデル
- 窒素濃度予測モデル (pytorch)未指定の場合、デフォルトで窒素濃度予測モデルv1.0.0が使用される。
出力¶
- ポート名: 窒素濃度分布
指定した深さ範囲における窒素濃度の分布(深さのリスト(μm)と窒素濃度(at.%)のリストのペア)
0.000000000000000000e+00,9.888573884963989258e-01 1.000000000000000000e+01,9.714900851249694824e-01 2.000000000000000000e+01,9.482148289680480957e-01 3.000000000000000000e+01,9.151985645294189453e-01 ... 9.700000000000000000e+02,6.591706071048974991e-03 9.800000000000000000e+02,6.591408979147672653e-03 9.900000000000000000e+02,6.591123063117265701e-03
- ポート名: 窒素濃度グラフ
深さ(x軸)に対する窒素濃度(y軸)のグラフ
図 365 窒素濃度グラフ¶
46.3.6. 残留応力予測(転移)¶
窒化材の任意深さ範囲における残留応力分布を予測する
図 366 残留応力予測(転移)モジュール¶
入力¶
- ポート名: Al_質量百分率 B_質量百分率 C_質量百分率 Co_質量百分率 Cr_質量百分率 Cu_質量百分率 Mn_質量百分率 Mo_質量百分率 N_質量百分率 Nb_質量百分率 Ni_質量百分率 O_質量百分率 P_質量百分率 Pb_質量百分率 S_質量百分率 Si_質量百分率 Ti_質量百分率 V_質量百分率 W_質量百分率
合金中の (各ポート名に対応する元素) の質量パーセント濃度
0
- ポート名: 深さの計算対象リスト
分布を計算する深さのリスト (μm)
0.0,10.0,20.0,30.0,40.0,50.0,60.0,70.0,80.0,90.0,100.0,110.0,120.0,130.0,140.0,150.0,160.0,170.0,180.0,190.0,200.0,210.0,220.0,230.0,240.0,250.0,260.0,270.0,280.0,290.0,300.0,310.0,320.0,330.0,340.0,350.0,360.0,370.0,380.0,390.0,400.0,410.0,420.0,430.0,440.0,450.0,460.0,470.0,480.0,490.0,500.0,510.0,520.0,530.0,540.0,550.0,560.0,570.0,580.0,590.0,600.0,610.0,620.0,630.0,640.0,650.0,660.0,670.0,680.0,690.0,700.0,710.0,720.0,730.0,740.0,750.0,760.0,770.0,780.0,790.0,800.0,810.0,820.0,830.0,840.0,850.0,860.0,870.0,880.0,890.0,900.0,910.0,920.0,930.0,940.0,950.0,960.0,970.0,980.0,990.0
- ポート名: 残留応力予測モデル
- 残留応力予測モデル (pytorch)未指定の場合、デフォルトで残留応力予測モデルv1.0.0が使用される。
- ポート名: 硬化度予測モデル
- 硬化度予測モデル (pytorch)未指定の場合、デフォルトで硬化度予測モデルv1.0.0が使用される。
- ポート名: 窒素濃度予測モデル
- 窒素濃度予測モデル (pytorch)未指定の場合、デフォルトで窒素濃度予測モデルv1.0.0が使用される。
- ポート名: 窒化時間
窒化処理を行う時間 (min)
960
- ポート名: 窒化温度
窒化処理を行う温度 (℃)
500
出力¶
- ポート名: 残留応力分布
指定した深さ範囲における残留応力の分布(深さのリスト(μm)と残留応力(MPa)のリストのペア)
0.000000000000000000e+00,-5.219735717773437500e+02 1.000000000000000000e+01,-5.170129394531250000e+02 2.000000000000000000e+01,-5.102161254882812500e+02 ... 9.700000000000000000e+02,1.702074890136718750e+02 9.800000000000000000e+02,1.702144622802734375e+02 9.900000000000000000e+02,1.702227172851562500e+02
- ポート名: 残留応力グラフ
深さ(x軸)に対する残留応力(y軸)のグラフ
図 367 残留応力グラフ¶
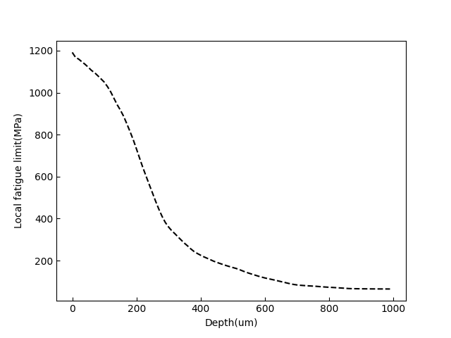
46.3.7. 局所疲労限度予測¶
窒化材の任意深さ範囲における局所疲労限度分布を計算する
図 368 局所疲労限度予測モジュール¶
入力¶
- ポート名: ビッカース硬さ分布
指定した深さ範囲におけるビッカース硬さの分布(深さのリスト(μm)とビッカース硬さ(HV)のリストのペア)
0.000000000000000000e+00,5.817233276367187500e+02 1.000000000000000000e+01,5.687181396484375000e+02 2.000000000000000000e+01,5.653233642578125000e+02 3.000000000000000000e+01,5.598865356445312500e+02 ... 9.700000000000000000e+02,9.389253997802734375e+01 9.800000000000000000e+02,9.384820556640625000e+01 9.900000000000000000e+02,9.380383300781250000e+01
- ポート名: 残留応力分布
指定した深さ範囲における残留応力の分布(深さのリスト(μm)と残留応力(HV)のリストのペア)
0.000000000000000000e+00,-5.219735717773437500e+02 1.000000000000000000e+01,-5.170129394531250000e+02 2.000000000000000000e+01,-5.102161254882812500e+02 ... 9.700000000000000000e+02,1.702074890136718750e+02 9.800000000000000000e+02,1.702144622802734375e+02 9.900000000000000000e+02,1.702227172851562500e+02
- ポート名: 深さの計算対象リスト
分布を計算する深さのリスト (μm)
0.0,10.0,20.0,30.0,40.0,50.0,60.0,70.0,80.0,90.0,100.0,110.0,120.0,130.0,140.0,150.0,160.0,170.0,180.0,190.0,200.0,210.0,220.0,230.0,240.0,250.0,260.0,270.0,280.0,290.0,300.0,310.0,320.0,330.0,340.0,350.0,360.0,370.0,380.0,390.0,400.0,410.0,420.0,430.0,440.0,450.0,460.0,470.0,480.0,490.0,500.0,510.0,520.0,530.0,540.0,550.0,560.0,570.0,580.0,590.0,600.0,610.0,620.0,630.0,640.0,650.0,660.0,670.0,680.0,690.0,700.0,710.0,720.0,730.0,740.0,750.0,760.0,770.0,780.0,790.0,800.0,810.0,820.0,830.0,840.0,850.0,860.0,870.0,880.0,890.0,900.0,910.0,920.0,930.0,940.0,950.0,960.0,970.0,980.0,990.0
出力¶
- ポート名: 局所疲労限度分布
指定した深さ範囲における局所疲労限度の分布(深さのリスト(μm)と局所疲労限度(MPa)のリストのペア)
0.000000000000000000e+00,1.191744110107421875e+03 1.000000000000000000e+01,1.168455493164062545e+03 2.000000000000000000e+01,1.159625445556640670e+03 ... 9.700000000000000000e+02,6.512431945800781818e+01 9.800000000000000000e+02,6.504989776611327557e+01 9.900000000000000000e+02,6.497477416992188637e+01
- ポート名: 局所疲労限度グラフ
局所疲労限度分布のグラフ
局所疲労限度グラフ
46.3.8. 疲労限度予測¶
窒化材の疲労限度と破壊起点を求める
図 369 疲労限度予測モジュール¶
入力¶
- ポート名: 局所疲労限度分布
指定した深さ範囲における局所疲労限度の分布(深さのリスト(μm)と局所疲労限度(MPa)のリストのペア)
0.000000000000000000e+00,1.191744110107421875e+03 1.000000000000000000e+01,1.168455493164062545e+03 2.000000000000000000e+01,1.159625445556640670e+03 ... 9.700000000000000000e+02,6.512431945800781818e+01 9.800000000000000000e+02,6.504989776611327557e+01 9.900000000000000000e+02,6.497477416992188637e+01
- ポート名: 深さの計算対象リスト
分布を計算する深さのリスト (μm)
0.0,10.0,20.0,30.0,40.0,50.0,60.0,70.0,80.0,90.0,100.0,110.0,120.0,130.0,140.0,150.0,160.0,170.0,180.0,190.0,200.0,210.0,220.0,230.0,240.0,250.0,260.0,270.0,280.0,290.0,300.0,310.0,320.0,330.0,340.0,350.0,360.0,370.0,380.0,390.0,400.0,410.0,420.0,430.0,440.0,450.0,460.0,470.0,480.0,490.0,500.0,510.0,520.0,530.0,540.0,550.0,560.0,570.0,580.0,590.0,600.0,610.0,620.0,630.0,640.0,650.0,660.0,670.0,680.0,690.0,700.0,710.0,720.0,730.0,740.0,750.0,760.0,770.0,780.0,790.0,800.0,810.0,820.0,830.0,840.0,850.0,860.0,870.0,880.0,890.0,900.0,910.0,920.0,930.0,940.0,950.0,960.0,970.0,980.0,990.0
- ポート名: 試料厚み
曲げ試験試料厚み (mm)
320
46.4. ワークフローの入力ファイル¶
本ワークフローの入出力ファイルは上記ツール説明の各モジュールの入力ファイルとなる。
このうち、ビッカース硬さ予測モデル、窒素濃度予測モデル、硬化度予測モデル、残留応力予測モデルはオプショナルであり、ファイルを指定しない場合デフォルトで各予測モデルv1.0.0が使用される。
また、合金組成情報モジュールの合金種別、組成データタイプ、組成データ単位情報については 合金組成情報 に記述のとおり特定の値を与える。
サンプル入出力ファイル
ダウンロードはこちら(html版のみダウンロード可能)

